Page 257 - รายงานกิจการสายแพทย์ ทร. ประจำปีงบประมาณ ๒๕๖๕
P. 257
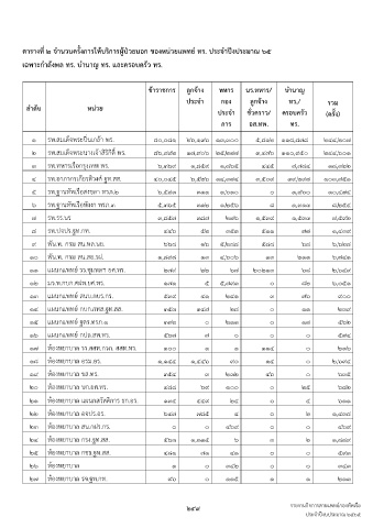
ตำรำงที่ ๒ จ�ำนวนครั้งกำรให้บริกำรผู้ป่วยนอก ของหน่วยแพทย์ ทร. ประจ�ำปีงประมำณ ๖๕
เฉพำะก�ำลังพล ทร. บ�ำนำญ ทร. และครอบครัว ทร.
ข้ำรำชกำร ลูกจ้ำง ทหำร นร.ทหำร/ บ�ำนำญ
ประจ�ำ กอง ลูกจ้ำง ทร./ รวม
ล�ำดับ หน่วย
ประจ�ำ ชั่วครำว/ ครอบครัว (ครั้ง)
กำร อส.ทพ. ทร.
๑ รพ.สมเด็จพระปิ่นเกล้า พร. ๘๐,๐๘๑ ๒๖,๑๓๖ ๑๓,๓๐๐ ๕,๘๑๒ ๑๑๘,๘๗๘ ๒๔๔,๒๐๗
๒ รพ.สมเด็จพระนางเจ้าสิริกิติ์ พร. ๘๖,๙๙๒ ๑๗,๙๐๖ ๒๕,๒๗๗ ๓,๔๗๖ ๑๑๐,๙๕๐ ๒๔๔,๖๐๑
๓ รพ.ทหารเรือกรุงเทพ พร. ๖,๓๖๙ ๑,๘๕๙ ๑,๘๖๕ ๔๔๕ ๗,๗๘๔ ๑๘,๓๒๒
๔ รพ.อาภากรเกียรติวงศ์ ฐท.สส. ๔๐,๐๔๕ ๖,๕๒๖ ๑๔,๓๗๔ ๓,๕๐๙ ๓๙,๒๙๗ ๑๐๓,๗๕๑
๕ รพ.ฐานทัพเรือสงขลา ทรภ.๒ ๖,๕๙๓ ๓๑๑ ๑,๖๑๐ ๐ ๑,๙๖๐ ๑๐,๔๗๔
๖ รพ.ฐานทัพเรือพังงา ทรภ.๓ ๕,๓๖๕ ๓๑๒ ๑,๒๕๖ ๘ ๑,๓๑๓ ๘,๒๕๔
๗ รพ.รร.นร ๓,๘๕๗ ๓๘๗ ๒๗๖ ๑,๕๓๙ ๑,๕๓๓ ๗,๕๙๒
๘ รพ.ปจปร.ฐท.กท. ๔๔๖ ๕๒ ๓๕๓ ๕๑๑ ๗๗ ๑,๔๓๙
๙ พัน.พ. กรม สน.พล.นย. ๖๖๘ ๑๖ ๕,๒๘๘ ๕๘๘ ๖๘ ๖,๖๒๘
๑๐ พัน.พ. กรม สน.สอ.รฝ. ๑,๘๙๘ ๑๓ ๔,๖๐๖ ๑๓ ๒๑๑ ๖,๗๔๑
๑๑ แผนกแพทย์ รร.ชุมพลฯ ยศ.ทร. ๒๗๙ ๒๒ ๖๗ ๒๐๒๑๓ ๖๘ ๒,๖๔๙
๑๒ มว.พ.กบก.ศฝท.ยศ.ทร. ๑๗๑ ๕ ๕,๗๙๓ ๐ ๘๒ ๖,๐๕๑
๑๓ แผนกแพทย์ สนบ.กบร.กร. ๕๓๙ ๔๑ ๒๔๑ ๓ ๗๖ ๙๐๐
๑๔ แผนกแพทย์ กบก.กทส.ฐท.สส. ๓๕๓ ๑๔๗ ๒๘ ๐ ๑๑ ๒๓๙
๑๕ แผนกแพทย์ ฐตร.ทรภ.๑ ๓๓๒ ๐ ๒๑๓ ๐ ๑๗ ๕๖๒
๑๖ แผนกแพทย์ กปถ.สพ.ทร. ๕๖๗ ๗ ๐ ๐ ๐ ๕๗๔
๑๗ ห้องพยาบาล รร.สสท.กวก. สสท.ทร. ๑๐๐ ๑ ๑ ๑๑๔ ๐ ๒๑๖
๑๘ ห้องพยาบาล อรม.อร. ๑,๑๔๔ ๑,๔๔๖ ๙๐ ๑๔ ๐ ๒,๖๙๔
๑๙ ห้องพยาบาล ขส.ทร. ๓๕๔ ๓ ๒๓๒ ๔๖ ๐ ๖๓๕
๒๐ ห้องพยาบาล บก.ยศ.ทร. ๔๘๘ ๖๙ ๑๐๐ ๐ ๒๕ ๖๘๒
๒๑ ห้องพยาบาล แผนกสวัสดิการ ธก.อร. ๑๓๔ ๔๔๙ ๒๔ ๐ ๔ ๖๑๑
๒๒ ห้องพยาบาล อจปร.อร. ๖๔๗ ๗๘๕ ๔ ๐ ๒ ๑,๔๓๘
๒๓ ห้องพยาบาล สน.กฝร.กร. ๐ ๐ ๔๖๙ ๐ ๐ ๔๖๙
๒๔ ห้องพยาบาล กรง.ฐท.สส. ๕๖๓ ๑,๓๑๕ ๖ ๓ ๒ ๑,๘๘๙
๒๕ ห้องพยาบาล กชธ.ฐท.สส. ๔๘๑ ๗๑ ๔๑ ๐ ๐ ๕๙๓
๒๖ ห้องพยาบาล ๑ ๐ ๓๔๒ ๐ ๐ ๓๔๓
๒๗ ห้องพยาบาล รจ.ฐท.กท. ๙๖ ๐ ๑๑๕ ๑ ๑ ๒๑๓
249 รายงานกิจการสายแพทย์กองทัพเรือ
ประจ�าปีงบประมาณ ๒๕๖๕

